ما تبحث عنه يبحث عنك
الأحد، 24 مايو 2020
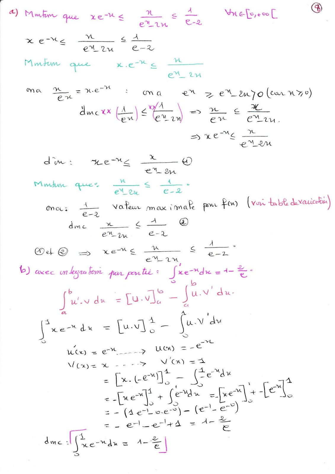
تصحيح الامتحان الوطني الموحد للبكالوريا الدورة الاستدراكية 2015 مادة الرياضيات مسلك العلوم تجريبية والفيزيائية الخيار الفرنسية
ليست هناك تعليقات:
إرسال تعليق
رسالة أحدث
رسالة أقدم
الصفحة الرئيسية
الاشتراك في:
تعليقات الرسالة (Atom)
تصحيح الامتحان الوطني الرياضيات - 2020 الدورة الاستدراكية العلوم فيزياىية و تجريبية
تصحيح امتحان 2021-- الدورة الاستدراكية مادة الرياضيات شعبة العلوم فيزيائية
ليست هناك تعليقات:
إرسال تعليق