touill.com

ما تبحث عنه يبحث عنك

السبت، 9 مايو 2020

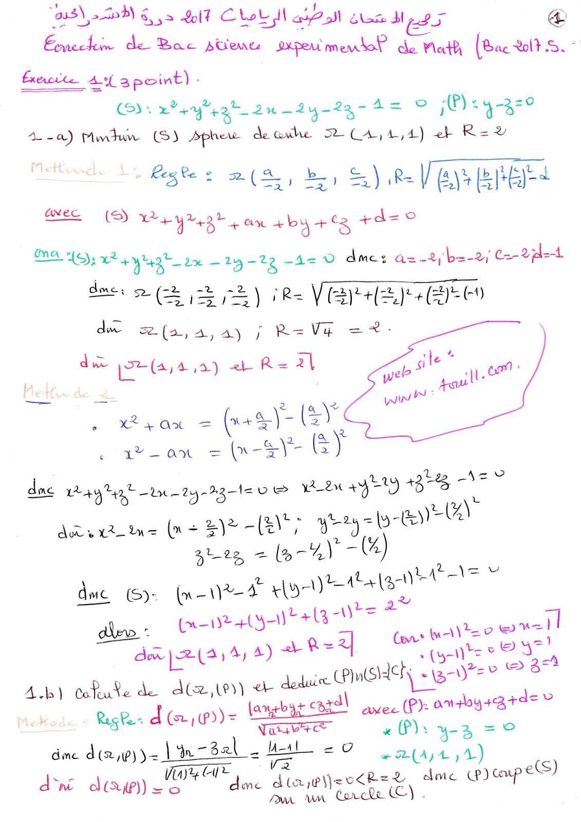
correction de bac math 2017 session rattrapage (تصحيح الامتحان الوطني الرياضيات 2017 الدورة الاستدراكية طرق بسيطة ومفهومة )











 








 
 

 


 



مرسلة بواسطة touill.com في مايو 09, 2020
إرسال بالبريد الإلكترونيكتابة مدونة حول هذه المشاركة‏المشاركة على X‏المشاركة في Facebook‏المشاركة على Pinterest
التسميات: التانية باك علوم فيزيائية, تعريف بالاستاد الطويل

ليست هناك تعليقات:

إرسال تعليق

رسالة أحدث رسالة أقدم الصفحة الرئيسية
الاشتراك في: تعليقات الرسالة (Atom)
  • تصحيح الامتحان الوطني الرياضيات - 2020 الدورة الاستدراكية العلوم فيزياىية و تجريبية
       
  • تصحيح امتحان 2021-- الدورة الاستدراكية مادة الرياضيات شعبة العلوم فيزيائية
     

الصفحات

  • الصفحة الرئيسية

الشعب

  • أ (2)
  • الأولى آداب (15)
  • التانية باك علوم اقتصادية (43)
  • التانية باك علوم رياضية (46)
  • التانية باك علوم فيزيائية (250)
  • الثانية باك آداب (5)
  • الثانية باك مهني (33)
  • امتحانات وطنية تانية باك علوم (85)
  • امتحانات وطنية تانية باك علوم، (6)
  • أولى باك علوم تجريبية (139)
  • أولى باك علوم رياضية (36)
  • أولى باك مهني (23)
  • تعريف بالاستاد الطويل (479)
  • جدع مشترك آداب (4)
  • جدع مشترك علوم (11)
  • جدع مشترك مهني (3)
  • tronc commun science (65)

أرشيف المدونة الإلكترونية

  • أبريل 2023 (5)
  • مارس 2023 (4)
  • فبراير 2023 (3)
  • يناير 2023 (5)
  • ديسمبر 2022 (3)
  • أكتوبر 2022 (2)
  • سبتمبر 2022 (9)
  • يوليو 2022 (4)
  • يونيو 2022 (24)
  • مايو 2022 (9)
  • أبريل 2022 (9)
  • مارس 2022 (14)
  • فبراير 2022 (6)
  • يناير 2022 (7)
  • ديسمبر 2021 (8)
  • نوفمبر 2021 (17)
  • أكتوبر 2021 (11)
  • يوليو 2021 (3)
  • يونيو 2021 (29)
  • مايو 2021 (39)
  • أبريل 2021 (21)
  • مارس 2021 (8)
  • فبراير 2021 (12)
  • يناير 2021 (12)
  • ديسمبر 2020 (20)
  • نوفمبر 2020 (25)
  • أكتوبر 2020 (20)
  • يوليو 2020 (16)
  • يونيو 2020 (54)
  • مايو 2020 (42)
  • أبريل 2020 (36)
  • مارس 2020 (32)
  • فبراير 2020 (16)
  • يناير 2020 (12)
  • ديسمبر 2019 (17)
  • نوفمبر 2019 (25)
  • أكتوبر 2019 (22)
  • سبتمبر 2019 (30)
  • أغسطس 2019 (26)

بحث هذه المدونة الإلكترونية

المساهمون

  • الحمداني
  • math
  • touill.com

الإبلاغ عن إساءة الاستخدام

الشعب

  • Home-icon
  • tronc commun science
  • امتحانات وطنية تانية باك علوم
  • أولى آداب
  • أولى باك
  • __ أولى باك علوم تجريبية
  • __ أولى باك علوم رياضية
  • _دروس تمارين وحلول
  • التانية باك علوم
  • _ التانية باك علوم فيزيائية
  • _ التانية باك علوم رياضية
  • آخر الفيديوهات

التوقيت المحلي

الوقت في وجدة:

تابعنا على مواقع التواصل الاجتماعي

  • facebook
  • instagram
  • youtube

Menu Footer Widget

  • الرئيسية
  • من نحن
صور المظاهر بواسطة luoman. يتم التشغيل بواسطة Blogger.