touill.com

ما تبحث عنه يبحث عنك

الثلاثاء، 7 يونيو 2022

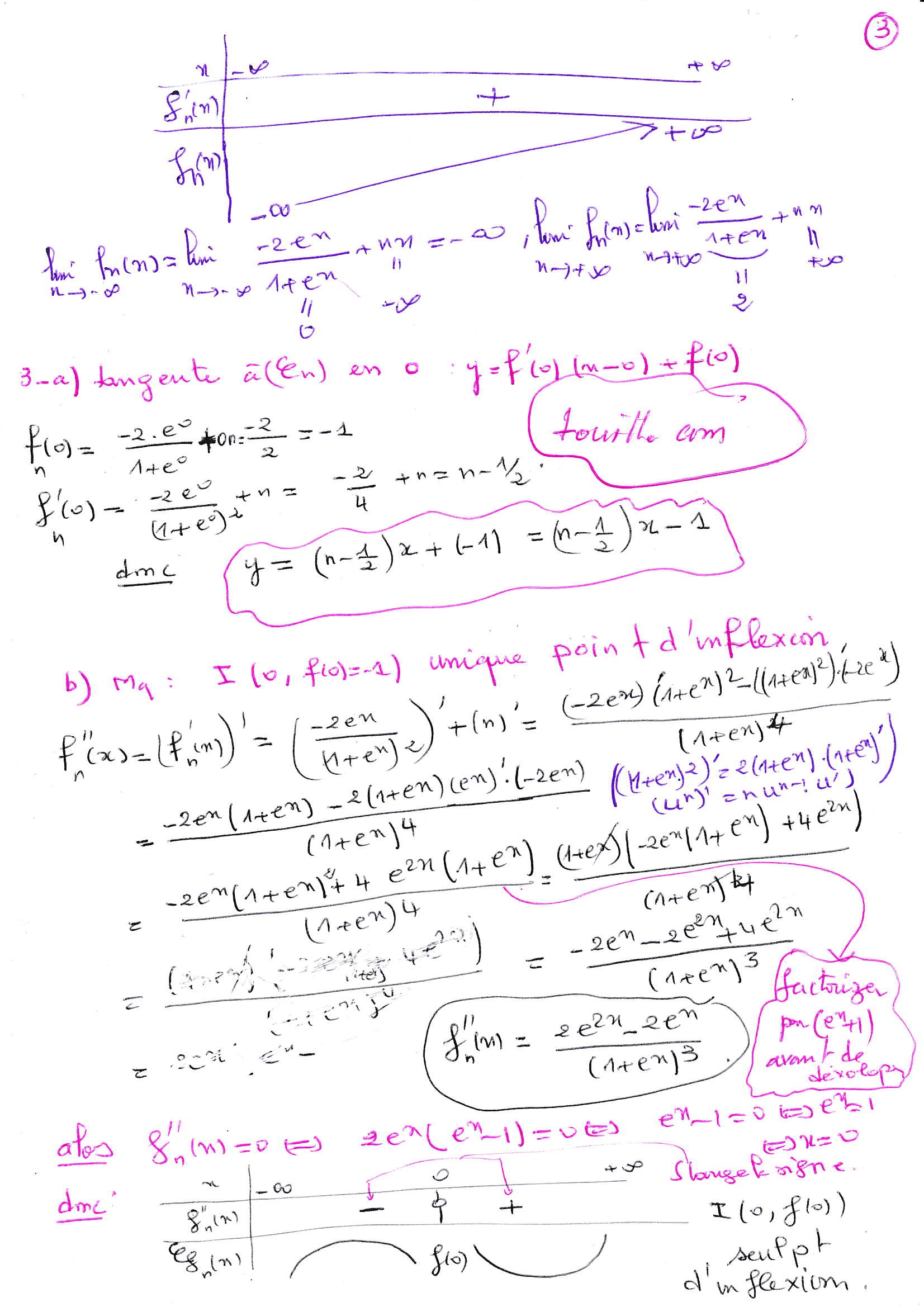
الإمتحان الوطني الموحد للبكالوريا شعبة العلوم رياضية .دورو العادية 2021. أوب ..الخيار فرنسية مع الحل examen bac science math session normale 2021avec solution..


 

















مرسلة بواسطة touill.com في يونيو 07, 2022
إرسال بالبريد الإلكترونيكتابة مدونة حول هذه المشاركة‏المشاركة على X‏المشاركة في Facebook‏المشاركة على Pinterest
التسميات: التانية باك علوم اقتصادية, التانية باك علوم رياضية, امتحانات وطنية تانية باك علوم

ليست هناك تعليقات:

إرسال تعليق

رسالة أحدث رسالة أقدم الصفحة الرئيسية
الاشتراك في: تعليقات الرسالة (Atom)
  • تصحيح الامتحان الوطني الرياضيات - 2020 الدورة الاستدراكية العلوم فيزياىية و تجريبية
       
  • تصحيح امتحان 2021-- الدورة الاستدراكية مادة الرياضيات شعبة العلوم فيزيائية
     

الصفحات

  • الصفحة الرئيسية

الشعب

  • أ (2)
  • الأولى آداب (15)
  • التانية باك علوم اقتصادية (43)
  • التانية باك علوم رياضية (46)
  • التانية باك علوم فيزيائية (250)
  • الثانية باك آداب (5)
  • الثانية باك مهني (33)
  • امتحانات وطنية تانية باك علوم (85)
  • امتحانات وطنية تانية باك علوم، (6)
  • أولى باك علوم تجريبية (139)
  • أولى باك علوم رياضية (36)
  • أولى باك مهني (23)
  • تعريف بالاستاد الطويل (479)
  • جدع مشترك آداب (4)
  • جدع مشترك علوم (11)
  • جدع مشترك مهني (3)
  • tronc commun science (65)

أرشيف المدونة الإلكترونية

  • أبريل 2023 (5)
  • مارس 2023 (4)
  • فبراير 2023 (3)
  • يناير 2023 (5)
  • ديسمبر 2022 (3)
  • أكتوبر 2022 (2)
  • سبتمبر 2022 (9)
  • يوليو 2022 (4)
  • يونيو 2022 (24)
  • مايو 2022 (9)
  • أبريل 2022 (9)
  • مارس 2022 (14)
  • فبراير 2022 (6)
  • يناير 2022 (7)
  • ديسمبر 2021 (8)
  • نوفمبر 2021 (17)
  • أكتوبر 2021 (11)
  • يوليو 2021 (3)
  • يونيو 2021 (29)
  • مايو 2021 (39)
  • أبريل 2021 (21)
  • مارس 2021 (8)
  • فبراير 2021 (12)
  • يناير 2021 (12)
  • ديسمبر 2020 (20)
  • نوفمبر 2020 (25)
  • أكتوبر 2020 (20)
  • يوليو 2020 (16)
  • يونيو 2020 (54)
  • مايو 2020 (42)
  • أبريل 2020 (36)
  • مارس 2020 (32)
  • فبراير 2020 (16)
  • يناير 2020 (12)
  • ديسمبر 2019 (17)
  • نوفمبر 2019 (25)
  • أكتوبر 2019 (22)
  • سبتمبر 2019 (30)
  • أغسطس 2019 (26)

بحث هذه المدونة الإلكترونية

المساهمون

  • الحمداني
  • math
  • touill.com

الإبلاغ عن إساءة الاستخدام

الشعب

  • Home-icon
  • tronc commun science
  • امتحانات وطنية تانية باك علوم
  • أولى آداب
  • أولى باك
  • __ أولى باك علوم تجريبية
  • __ أولى باك علوم رياضية
  • _دروس تمارين وحلول
  • التانية باك علوم
  • _ التانية باك علوم فيزيائية
  • _ التانية باك علوم رياضية
  • آخر الفيديوهات

التوقيت المحلي

الوقت في وجدة:

تابعنا على مواقع التواصل الاجتماعي

  • facebook
  • instagram
  • youtube

Menu Footer Widget

  • الرئيسية
  • من نحن
صور المظاهر بواسطة luoman. يتم التشغيل بواسطة Blogger.